920685
介紹和解釋實驗室儀器的工作原理、操作步驟、維護保養、技術規范、應用案例等內容
前景提要
此前已有文章對流體流動狀態做了簡單闡述,明確了流體物性及管道阻力會對換熱流體(無論是冷流體還是熱流體)產生一定的流動影響。有同學肯定不禁想問:我是想要給物料降溫(或者加熱),跟我的物料怎么流動有什么關系呢?
今天我們來聊一聊熱交換 。
熱交換的方式有三種:熱傳導、熱對流 和熱輻射。
簡單講,熱傳導就是冬天手摸鐵棒,隨著時間增長,冷的鐵棒也逐漸熱起來了,跟人手的溫度逐漸一致,并且在手摸的區域附近逐漸向兩端都熱起來了;
熱對流就是把冷水和熱水倒在一起攪一攪,變成一杯溫度上下都一樣的水;熱輻射就是曬太陽,人既沒有接觸太陽,也沒有和太陽變成一體,但是我們可能感受到太陽的熱。
由此可見,熱傳導需要兩者接觸但不混合,熱對流需要兩者接觸并混合,熱輻射不需要兩者接觸及混合。
逆流間壁式換熱
在實驗過程中,往往需要冷熱介質進行熱交換進行降溫(或者加熱),而冷、熱兩種物流之間并非相互接觸,兩者之間有金屬或玻璃或其他材質的間壁做分隔。因此,在上述過程中,冷、熱流體各自內部存在熱對流,冷流體、間壁、熱流體三者兩兩接觸的區域則為熱傳導,整個過程中沒有熱輻射。要想冷、熱流體內部的溫度能夠快速達到一致,那么必然要加大熱對流的效率。而加強熱對流最好的方式是加強流體內的湍動能,即讓流體處于湍流狀態或有外力促使流體返混(例如攪拌)。
常見的兩相流體的間壁式換熱模式下,往往有兩相同方向流動的順流換熱、兩相成十字狀錯位流動的錯流換熱和兩相相反方向流動的逆流換熱。上述三種換熱模式下,逆流換熱 的效率最高。
如圖1所示為一個常見的逆流間壁式換熱的示意圖:

怎么知道能量有多高呢?
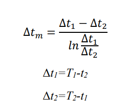
在實際過程中,往往需要知道實際需要提供(或被移走)的能量有多高,基于該側的物料狀態以及反應熱參數或熱源參數,我們可以獲得總熱量,若不考慮反應吸放熱及內熱源的情況下,那么可以根據物料所需升溫(或者降溫)的初始溫度和最終溫度以及物料物性,我們可以用以下公式計算得到熱量:

其中,q:熱量,J;c:物料的比熱,J/(kg·K);m:物料質量,kg;Δt:溫差,即Δt=t2-t1,°C或K。
將總換熱量除以預期的升降溫時間即可獲得熱功率,若為換熱器內的連續換熱過程,物料質量應為質量流速,及kg/s,因此獲得的熱量q即為換熱功率。對于間壁式換熱,在計算換熱過程中需要考慮實際換熱過程的換熱面積以及傳熱系數,因此可以以下公式計算相關參數。

其中,Q:總換熱功率,W;K:總傳熱系數,W/(m2·K);A:換熱面積,m2;Δtm:溫差,°C或K。

換熱面積A隨著設備制造完成,就已經確定,可以認為是定值;總傳熱系數K受到換熱間壁材質、尺寸及壁面兩側污垢、壁面兩側流體形態的影響,當兩側流體流速等確定的情況下,K也可以認為定值;由此可見,通過流體的入口溫度,拉大兩側溫度的溫差,即可實現更大的換熱量,因此可認為 溫差 是換熱過程的最大驅動力也是唯一驅動力。
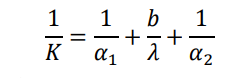
總傳熱系數K如何獲得呢?
大家肯定會好奇總傳熱系數K是如何獲得的,那么就來具體看一看:

其中,K:總傳熱系數,W/(m2·K);α1:外側流體對流傳熱系數,W/(m2·K);α2:內側流體對流傳熱系數,W/(m2·K);λ:間壁熱導率,W/(m2·K);b:壁厚,m。
由此可見,總傳熱系數收到兩側流體的對流傳熱系數、間壁熱導率和壁厚的共同影響。間壁熱導率相對固定,如下表所示有一部分常見材料的熱導率:

從上表可以看到,金屬材料的熱導率明顯優于非金屬材料,而像泡沫之類的材料熱導率極差,那么這么差的熱導率,它可以用來做什么呢?答案是保溫。也就是說熱導率高,我們可以用來作為導熱元器件,熱導率低,我們可以作為保溫材料。
對流傳熱系數怎么獲得?
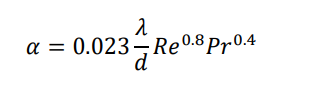
熱導率是材質物性,那么對流傳熱系數又要如何獲得呢?對流傳熱系數可以通過以下方法獲得:


其中:λ:流體熱導率,W/(m·K);d:流體流通的管徑,m;u:流速,m/s;ρ:流體密度,kg/m3;μ:流體粘度,Pa·s;cp:流體定壓熱容,J/(kg·K)。
綜上可見,流體的對流傳熱系數與流體動力學直接相關,需要謹慎選擇合適的冷卻介質。
通過上面冗長的分析,已經可以核算如何選擇一個合適的恒溫槽以及如何選擇一個合適的熱交換設備。
END
新芝生物具有完善的 恒溫水浴產品 家族,滿足各種尺寸的各種熱交換設備需求,實現從小試到中試到生產的全周期產品供應。全新的 DMC、HMC和DHC工藝流程控溫系列,強大的循環能力,充沛的加熱、制冷供給,滿足中試及生產規模大型攪拌釜、發酵罐、換熱器等控溫需求。


上一篇: 溶出實驗需要關注的細節
下一篇: 影響實驗的不是速度,而是離心力
24小時服務熱線 18106650612